Selected Publications
2010 papers
1. Ti Zhang; Chu-Yi Yu*; Zhi-Tang Huang*; Yue-Mei Jia. Solvent-free and stereo-selective synthesis of C-glycosides by michael-type addition of enamino esters to 2-nitro-d-glucal, Synlett,2010, 14, 2174-2178.

2. Xiang-Guo Hu; Barbara Bartholomew; Robert J. Nash; Francis X. Wilson; George W. J. Fleet; Shinpei Nakagawa; Atsushi Kato; Yue-Mei Jia; Renate van Well; Chu-Yi Yu*. Synthesis and glycosidase inhibition of the enantiomer of (-)-steviamine, the first example of a new class of indolizidine alkaloid, Organic Letters, 2010, 12 (6), 2562-2565.

3. Jia-Kun Su; Yue-Mei Jia; Ruirui He; Pei-Xin Rui; Nanyin Han; Xihui He; Junfeng Xiang; Xin Chen; Jinghua Zhu; Chu-Yi Yu*. A rapid synthesis of 2-aryl polyhydroxylated pyrrolidines, Synlett, 2010, 11, 1609-1616.

4. Wu-Bao Wang; Mu-Hua Huang; Yi-Xian Li; Pei-Xin Rui; Xiang-Guo Hu; Wei Zhang; Jia Kun Su; Zhao-Lan Zhang; Jian-She Zhu; Wei-Hua Xu; Xian-Qing Xie; Yue-Mei Jia; Chu-Yi Yu*, A practical synthesis of sugar-derived cyclic nitrones: powerful synthons for thesynthesis of iminosugars, Synlett, 2010, 3, 488-492.

5. Xiang-Guo Hu; Yue-Mei Jia; Junfeng Xiang; Chu-Yi Yu*. Exploratory studies en route to 5-alkyl-hyacinthacines: synthesis of 5-epi-(-)-hyacinthacine A3 and (-) -hyacinthacine A3, Synlett,2010, 6, 982-986.

6. Wen-Yuan Xu; Yue-Mei Jia; Jing-Kui Yang; Zhi-Tang Huang; Chu-Yi Yu*. Reactions of heterocyclic ketene aminals with 2-(3-oxoisobenzofuran -1(3H)-ylidene) malononitrile: an efficient synthesis of polyfunctionalized spiro 1,4-dihydropyridine-fused 1,3- diazaheterocycles, Synlett, 2010, 11, 1682-1684.

7. Hui Zhao; Ai-Qun Zeng; Wei-Lin Liao; Yue-Mei Jia; Li.-Ben Wang; Zhi-Tang Huang; Chu Yi, Yu*, Reactions of heterocyclic ketene aminals with acrylonitrile: an efficient synthesis of dihydropyridine-fused 1,3-diazaheterocycles, Heterocycles, 2010, 82 (1), 619-629.

8. Michalik, A.; Hollinshead, J.; Jones, L.; Fleet, G. W. J.; Yu, C.-Y.; Hu, X.-G.; van Well, R.; Horne, G.; Wilson, F. X.; Kato, A.; Jenkinson, S. F.; Nash, R. J., Steviamine, a new indolizidine alkaloid from Stevia rebaudiana. Phytochemistry Letters 2010, 3, 136-138.

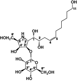
9. Kato, A.; Hollinshead, J.; Yamashita, Y.; Nakagawa, S.; Koike, Y.; Adachi, I.; Yu, C.-Y.; Fleet, G. W. J.; Nash, R. J., An alpha-glucoside of 1,4-dideoxy-1,4-imino-D-lyxitol with an eleven carbon side chain. Phytochemistry Letters 2010, 3, 230-233.

10. Best, D.; Chairatana, P.; Glawar, A. F. G.; Crabtree, E.; Butters, T. D.; Wilson, F. X.; Yu, C.-Y.; Wang, W.-B.; Jia, Y.-M.; Adachi, I.; Kato, A.; Fleet, G. W. J., Synthesis of 2-acetamido-1,2-dideoxy-D-galacto-nojirimycin DGJNAc from D-glucuronolactone: the first sub-micromolar inhibitor of alpha-N-acetylgalactosaminidases. Tetrahedron Lett. 2010, 51, 2222-2224.
